Skip to content
Table of Contents

Paper Specific Instructions

1. The examination is of 3 hours duration. There are a total of 60 questions carrying 100 marks. The entire paper is divided into three sections, A, B and C. All sections are compulsory. Questions in each section are of different types.

2. Section – A contains a total of 30 Multiple Choice Questions (MCQ). Each MCQ type question has four choices out of which only one choice is the correct answer. Questions Q.1 – Q.30 belong to this section and carry a total of 50 marks. Q.1 – Q.10 carry 1 mark each and Questions Q.11 – Q.30 carry 2 marks each.

3. Section – B contains a total of 10 Multiple Select Questions (MSQ). Each MSQ type question is similar to MCQ but with a difference that there may be one or more than one choice(s) that are correct out of the four given choices. The candidate gets full credit if he/she selects all the correct answers only and no wrong answers. Questions Q.31 – Q.40 belong to this section and carry 2 marks each with a total of 20 marks.

4. Section – C contains a total of 20 Numerical Answer Type (NAT) questions. For these NAT type questions, the answer is a real number which needs to be entered using the virtual keyboard on the monitor. No choices will be shown for these type of questions. Questions Q.41 – Q.60 belong to this section and carry a total of 30 marks. Q.41 – Q.50 carry 1 mark each and Questions Q.51 – Q.60 carry 2 marks each.

5. In all sections, questions not attempted will result in zero mark. In Section – A (MCQ), wrong answer will result in NEGATIVE marks. For all 1 mark questions, 1/3 marks will be deducted for each wrong answer. For all 2 marks questions, 2/3 marks will be deducted for each wrong answer. In Section – B (MSQ), there is NO NEGATIVE and NO PARTIAL marking provisions. There is NO NEGATIVE marking in Section – C (NAT) as well.

6. Only Virtual Scientific Calculator is allowed. Charts, graph sheets, tables, cellular phone or other electronic gadgets are NOT allowed in the examination hall.

7. The Scribble Pad will be provided for rough work

Welcome to your IIT JAM CHEMISTRY 2021

SECTION – A
MULTIPLE CHOICE QUESTIONS (MCQ)


Q. 1 – Q.10 carry one mark each.
Q.1 The CORRECT order of pKa for the compounds I to IV in water at 298 K is
1. Hco(CO)4
2. Hco(CO)3 (PPh)3
3. Hco(CO)3 (P(OPh)3)
4. Hco(CO)2 (PPh3)2

Q.2 For Na+, Mg2+, Al3+ and F, the CORRECT order of ionic radii is
(A) Al3+ > Mg2+ > Na+ > F
(B) Al3+ > Na+ > Mg2+ > F
(C) F- > Na+ > Mg2+ >Al3+
(C) Na+ > F- > Mg2+ >Al3+

Q.3 Spin-only magnetic moments (in BM) of [NiCl2(PPh3)2] and [Mn(NCS)6] 4− , respectively, are

(A) 0.00 and 5.92
(B) 2.83 and 1.89
(C) 0.00 and 1.89
(D) 2.83 and 5.92

Q.4 Two sets of quantum numbers with the same number of radial nodes are

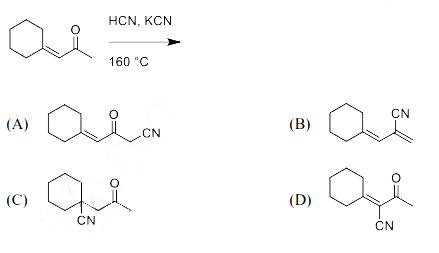
Q.5 The major product formed in the following reaction is

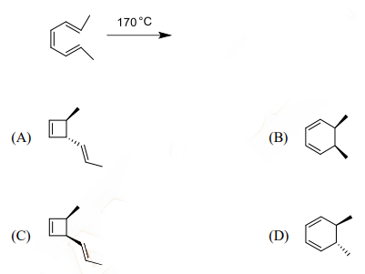
Q.6 The major product formed in the following reaction is

Q.7 A compound shows 1H NMR peaks at δ-values (in ppm) 7.31 (2H), 7.21 (2H), 4.5 (2H) and
2.3 (3H). The structure of the compound is

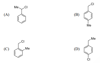
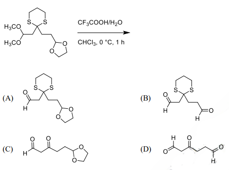
Q.8 The major product formed in the following reaction is

Q.9 A pure substance M has lesser density in solid state than in liquid state. The ΔSfusion of M
is +25 J K−1 mol−1. The CORRECT representative Pressure-Temperature diagram for the fusion of M is

Q.10 Among the following, the matrices with non-zero determinant are

Q.11 Reaction of BCl3 with NH4Cl at 140 °C produces compound P. Further, P reacts with
NaBH4 to give a colorless liquid Q. The reaction of Q with H2O at 100 C produces
compound R and a diatomic gas S. Among the following, the CORRECT statement is

A) P is B3N3H6
(B) R is [B(OH)NH]3
(C) Q is [BClNH]3
(D) S is Cl2

Q.12 The complex that does NOT obey the 18-electron rule is
(Given: Atomic numbers of Ti, Mn, Ta and Ir are 22, 25, 73 and 77, respectively)

(A) [(η5 -C5H5)Ti(CO)4]
(B) [Mn(SnPh3)2(CO)4]
(C) [(η5-C5H5)Ir(CH2)(PMe3)]
(D) [TaCl3(PEt3)2(CHCMe3)]

Q.13 Hybridization of the central atoms in I3, ClF3 and SF4, respectively, are

(A) sp3d, sp2 and dsp2
(B) sp, sp3 d and dsp2
(C) sp3 d, sp3 d and sp3 d
(D) sp, sp2 and sp3 d

Q.14 Reaction of [Ni(CN)4] 2− with metallic potassium in liquid ammonia at −33 °C yields complex E. The geometry and magnetic behavior of E, respectively, are

Q.15 The decreasing order of C=C bond length in the following complexes is

I. [Cl3pt(CH2=CH2)]-
II. [Cl3pt(C(CN)2=C(CN)2)]-
III. [Cl3pt(CF2=CH2)]-
IV. [Cl3pt(CF2=CF2)]-

Q.16 The CORRECT combination for metalloenzymes given in Column I with their catalytic reactions in Column II is

Q.17 According to the crystal field theory, d–d transition observed in [Ti(H2O)6] 3+ is

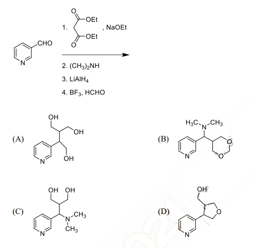
Q.18 The major product formed in the following reaction sequence is

Q.19 The products P, Q, R and S formed in the following reactions are

Q.20 The major products E and F formed in the following reactions are

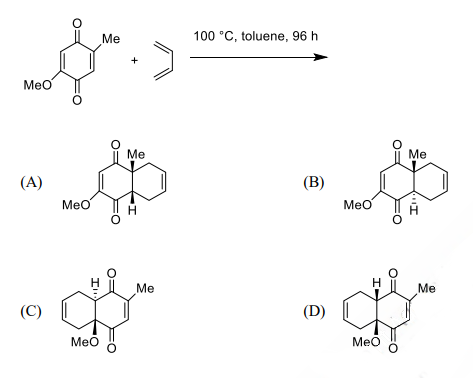
Q.21 The reaction that produces the following as a major product is

Q.22 The major product formed in the following reaction is

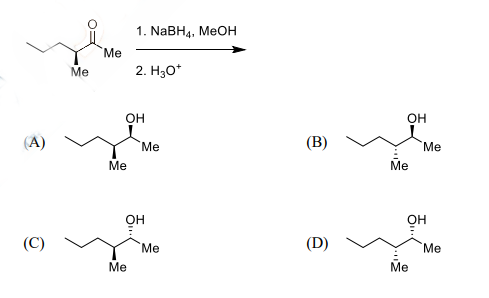
Q.23 The major product formed in the following reaction is

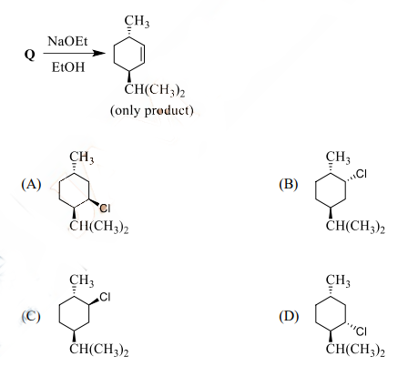
Q. 24 In the following reaction, compound Q is

Q.25 Monochromatic X-rays having energy 2.8 x 10−15 J diffracted (first order) from (200)
plane of a cubic crystal at an angle 8.5º. The length of unit cell in Å of the crystal (rounded
off to one decimal place) is
(Given: Planck’s constant, h = 6.626 x 10−34 J s; c = 3.0 x 108 m s−1)

Add description here!

Q.29 The CORRECT statement regarding the molecules BF3 and CH4 is

(A) Both BF3 and CH4 are microwave active
(B) Both BF3 and CH4 are infrared active
(C) CH4 is microwave active and infrared inactive
(D) BF3 is microwave active and infrared active

Q.30 For the consecutive reaction,

SECTION - B
MULTIPLE SELECT QUESTIONS (MSQ)



Q. 31 – Q. 40 carry two marks each.
Q.31 The CORRECT statement(s) about the species is (are)

(A) CpMo(CO)3 and CpW(CO)3 are isoelectronic (where Cp is cyclopentadienyl)
(B) CH2−and NH2 are isolobal and isoelectronic
(C) BH and CH are isolobal and isoelectronic
(D) CH3 and Mn(CO)5 are isolobal

Q.32 The complex(es) that show(s) Jahn-Teller distortion is (are)

(A) [Co(CN)5(H2O)]3-
(B) [NiF6]2-
(C) [Mn(CNMe)6]2+
(D) [Co(en)2F2]+

Q.33 The CORRECT statement(s) about sodium nitroprusside is (are)

(A) It is a paramagnetic complex
(B) Nitroprusside ion is formed in the brown ring test for nitrates
(C) It is used for the detection of S2−in aqueous solution
(D) It contains nitrosyl ligand as NO+

Q.34 The pigment responsible for red color in tomato has one functional group. The CORRECT statement(s) about this functional group is (are)

Q.35 Hantzsch pyridine synthesis involves several steps. Some of those are

Q.36 The compound(s), which give(s) benzoic acid on oxidation with KMnO4, is (are)

Q.37 The products P and Q formed in the reaction are

Q.38 The functional group(s) in reducing sugar that tests positive with Tollen’s reagent is (are)

Q.39 Among the following, the anti-aromatic compound(s) is (are)

Q.40 The CORRECT Maxwell relation(s) derived from the fundamental equations of thermodynamics is (are)

SECTION – C
NUMERICAL ANSWER TYPE (NAT)

Q. 41 – Q. 50 carry one mark each.

Q.41 The total number of optically active isomers of dichloridobis(glycinato)cobaltate(III) ion
is ______.

Q.42 The total number of microstates possible for a d8 electronic configuration is ______.

Q.43 For the following fusion reaction,
4 1H -->4He + 2β+ + 2υ + γ the Q-value (energy of the reaction) in MeV (rounded off to one decimal place) is ______.
(Given: Mass of 1H nucleus is 1.007825 u and mass of 4He nucleus is 4.002604 u)

Q.44 MgO crystallizes as rock salt structure with unit cell length 2.12 Å. From electrostatic
model, the calculated lattice energy in kJ mol−1 (rounded off to the nearest integer) is ______.

(Given: NA = 6.022 x 1023 mol−1; Madelung constant = 1.748;
ε0 = 8.854 x 10−12 J−1 C2 m−1; charge of an electron = 1.602 x 10−19 C)

Q.45 Calcium crystallizes in fcc lattice of unit cell length 5.56 Å and density 1.4848 g cm−3. The
percentage of Schottky defects (rounded off to one decimal place) in the crystal is ______.
(Given: Atomic mass of Ca is 40 g mol−1; NA = 6.022 x 1023 mol−1)

Q.47 A buffer solution is prepared by mixing 0.3 M NH3 and 0.1 M NH4NO3. If Kb of NH3 is
1.6 x 10−5 at 25 oC, then the pH (rounded off to one decimal place) of the buffer solution at 25 oC is ______.

Q.48 The dissociation constant of a weak monoprotic acid is 1.6 x 10−5 and its molar conductance at infinite dilution is 360.5 x 10−4 mho m2 mol−1. For 0.01 M solution of this acid, the specific conductance is n x 10−2 mho m−1. The value of n (rounded off to two decimal places) is ______.

Q.49 Adsorption of a toxic gas on 1.0 g activated charcoal is 0.75 cm3 both at 2.5 atm, 140 K
and at 30.0 atm, 280 K. The isosteric enthalpy for adsorption of the gas in kJ mol−1 (rounded off to two decimal places) is ______.
(Given: R = 8.314 J K−1 mol−1)

Q.50 If the root mean square speed of hydrogen gas at a particular temperature is 1900 m s−1,
then the root mean square speed of nitrogen gas at the same temperature, in m s−1 (rounded off to the nearest integer), is ______.
(Given: atomic mass of H is 1 g mol−1; atomic mass of N is 14 g mol−1)

Q. 51 – Q. 60 carry two marks each.
Q.51 If the crystal field splitting energy of [Co(NH3)4]2+ is 5900 cm−1, then the magnitude of its
crystal field stabilization energy, in kJ mol−1(rounded off to one decimal place), is ______

Q.52 A salt mixture (1.0 g) contains 25 wt% of MgSO4 and 75 wt% of M2SO4. Aqueous solution of this salt mixture on treating with excess BaCl2 solution results in the precipitation of 1.49 g of BaSO4. The atomic mass of M in g mol−1 (rounded off to two decimal places) is ______.
(Given: the atomic masses of Mg, S, O, Ba and Cl are 24.31, 32.06, 16.00, 137.33 and 35.45 g mol−1, respectively)

Q.53 The intensity of a monochromatic visible light is reduced by 90% due to absorption on
passing through a 5.0 mM solution of a compound. If the path length is 4 cm, then the molar extinction coefficient of the compound in M−1 cm−1 is ______.

Q.54 The surface tension (γ) of a solution, prepared by mixing 0.02 mol of an organic acid in 1 L of pure water, is represented as γ* − γ = A log(1+Bc)
γ∗ is the surface tension of pure water, A = 0.03 N m–1, B = 50 mol–1 L and c is concentration in mol L–1. The excess concentration of the organic acid at the surface of the liquid, determined by Gibbs adsorption equation at 300 K is n x 10sub>−6 mol m–2. The value of n (rounded off to two decimal places) is ______.
(Given: R = 8.314 J K–1 mol–1)

Q.55 The separation of energy levels in the rotational spectrum of CO is 3.8626 cm−1. The bond
length (assume it does not change during rotation) of CO in Å (rounded off to two decimal
places) is ___________.
(Given: Planck’s constant h = 6.626 x 10−34 J s; NA = 6.022 x 1023 mol−1; atomic mass of C is 12 g mol−1 ; atomic mass of O is 16 g mol−1 ; c = 3 x 108 m s−1)

Q.56 A dilute solution prepared by dissolving a nonvolatile solute in one liter water shows a depression in freezing point of 0.186 K. This solute neither dissociates nor associates in water. The boiling point of the solution in K (rounded off to three decimal places) is _________.
(Given: For pure water, boiling point = 373.15 K; cryoscopic constant = 1.86 K (mol kg−1)−1 ; ebullioscopic constant = 0.51 K (mol kg−1)−1)

Q.58 The mean ionic activity coefficient of 0.004 molal CaCl2 in water at 298 K (rounded off to
three decimal places) is ______.
(Given: Debye-Hückel constant for an aqueous solution at 298 K is 0.509 kg1/2 mol-1/2)

Q.60 For the molecule,
CH3−CH=CH−CH(OH)−CH=CH−CH=C(CH3)2
the number of all possible stereoisomers is ______.